Services
Analyze Leaf Data
Recent Results
Information
About
Q&A
Credits
Data Policy
News
Contact
Login
Result Charts
Identifier:
MN
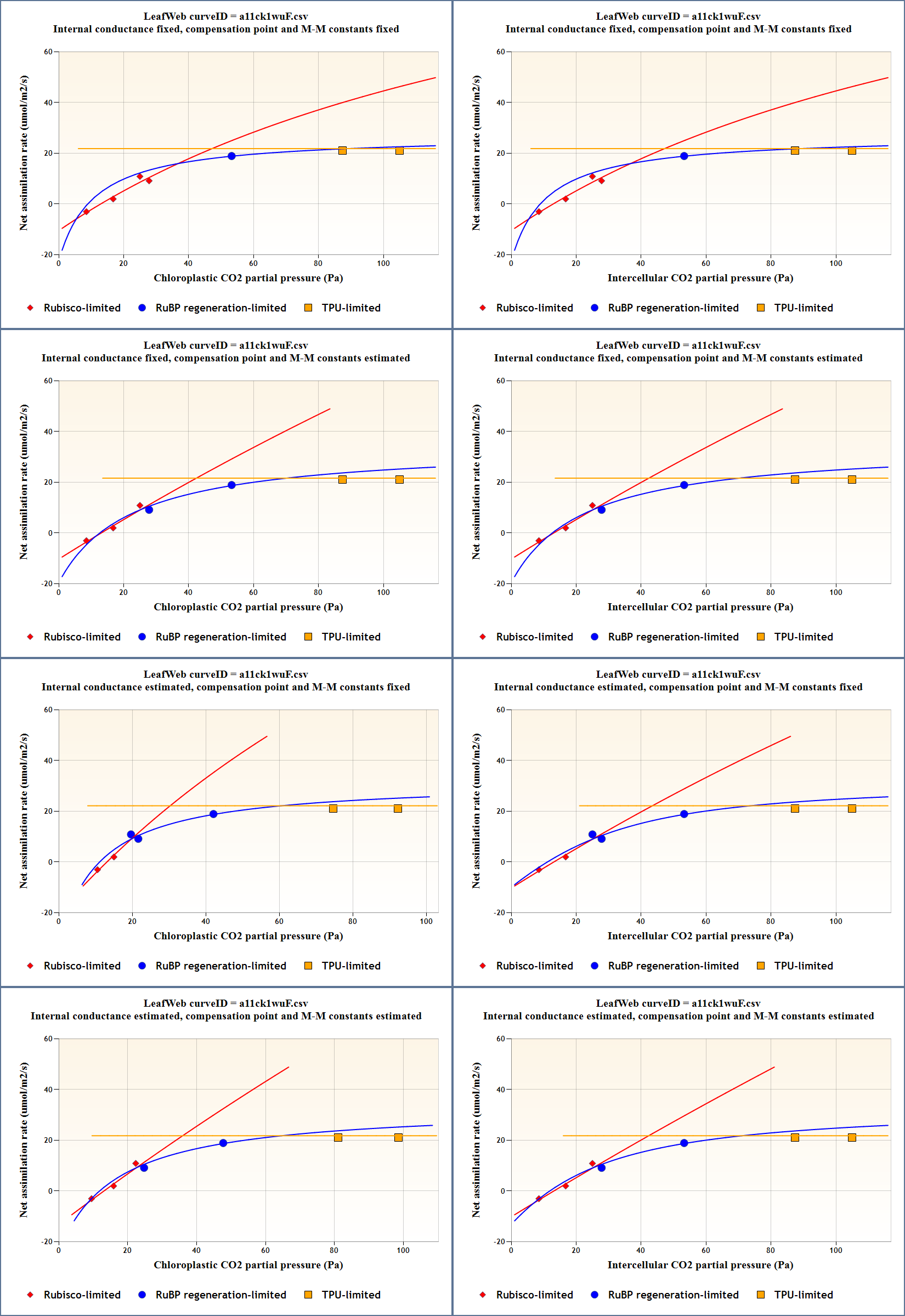
a11ck1wuF.csv Chart