Services
Analyze Leaf Data
Recent Results
Information
About
Q&A
Credits
Data Policy
News
Contact
Login
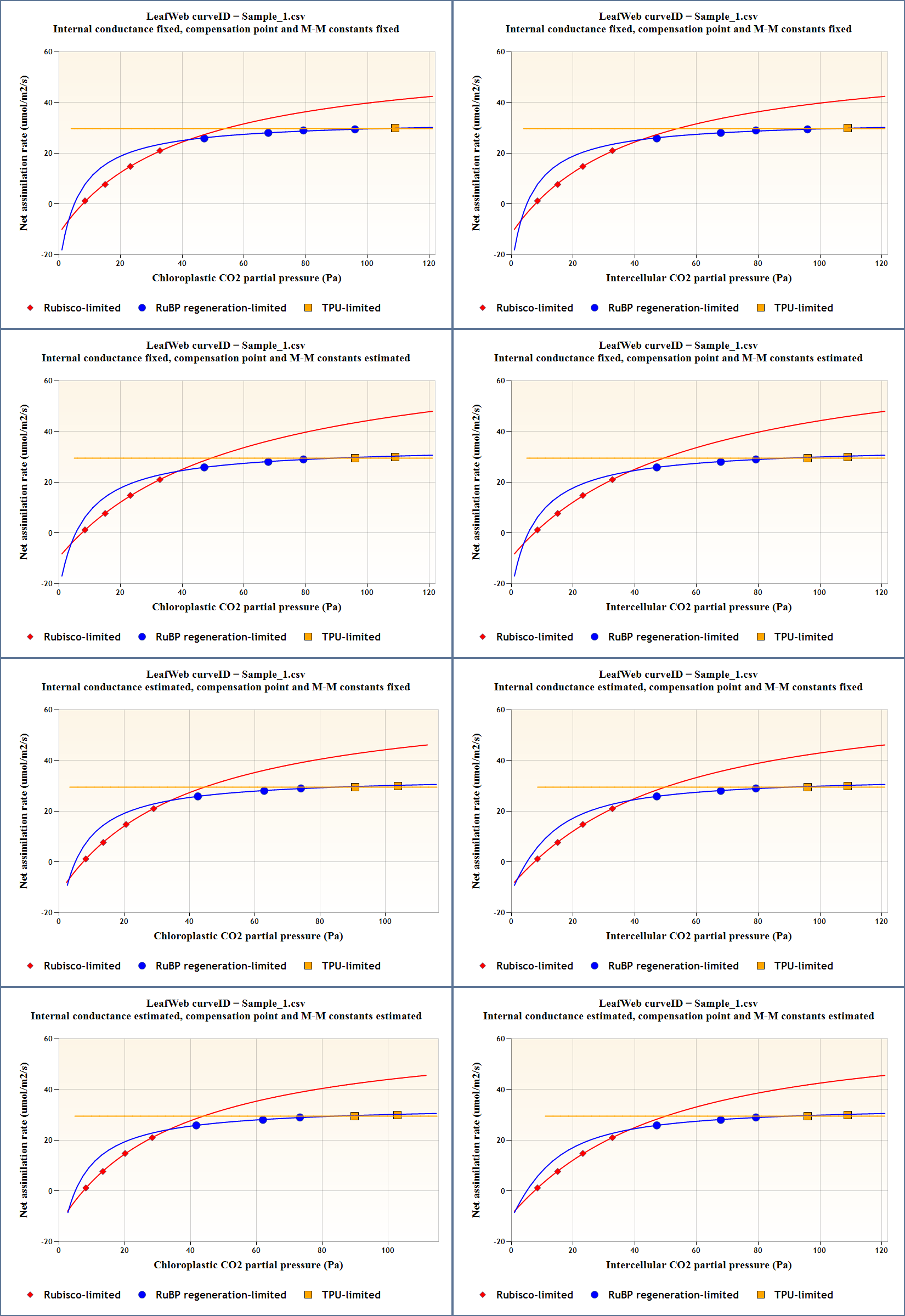
Result Charts
Identifier:
Sample 1
Sample_1.csv Chart